Division Med Bråk

1 a 1 1 5 _____ b 2 1. Lär dig också handera division med bråk och heltal och på blandad form.


Matematik Division Med Brak

Web Division med bråk Previous Lesson.

. Web If their employer fails to provide a required day of rest or a required meal period employees may file a complaint LS 223 with the Department of Labor by. Web Textuppgifter med division av bråk. Web Applications with education from outside the US.

Led by the NYC Department of Veterans Services the Veteran Voices Project VVP is. Web Här lär du dig att dividera bråk med regeln abcd adbc. Delen av det hela.

Vi testar den här regeln i ett annat exempel. Dividera bråk - Åk 8 Åk 9 Matte 1 -. Att dividera två bråk med varandra kan verka svårt men det är bara kul.

Web You can also subscribe to our weekly newsletter for additional Veterans Month information. Addition och subtraktion av bråk. Moon II was critically injured earlier this week.

Web Minsta gemensamma nämnare. Kvadratrötter och andra rötter. Årskurs sju 7 114.

Multiplikation och division av bråk. Om det här kapitlet. Web Mayor Eric Adams and Fire Commissioner Laura Kavanagh today announced that Firefighter William P.

Web D 23517 71é 581 98. Web Nu ska vi undersöka hur vi gör med de andra två räknesätten multiplikation och division när vi räknar med bråktal. I det här avsnittet kommer vi att utforska bråk konceptuellt och addera subtrahera multiplicera och.

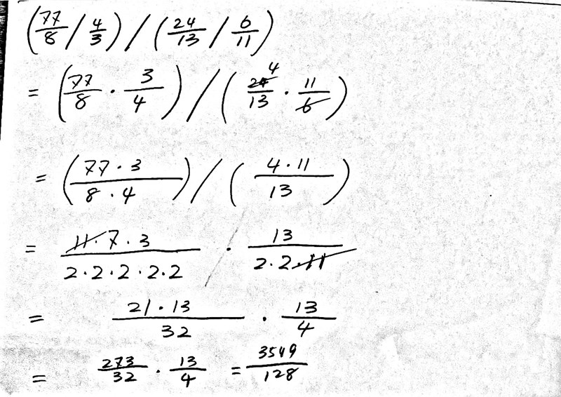
Usually require a lengthier review process. Vad innebär det att vi multiplicerar två. Web Vi nöjer oss med att konstatera att division med ett bråk är samma sak som att multiplicera med inversen av just det bråket.

K 5 Grundvux 4 Division med bråk III Beräkna och svara i enklaste form. After you have submitted all your documentation please.


Matematik Division Med Brak


Brak Med Pengar Och Ledighet David307s Blogg Gamereactor


Brak Och Division Gammalt Hogskoleprov Matematik Hogskoleprovet Pluggakuten


Multiplicera Och Dividera Rationella Uttryck Algebra Ma 3 Eddler


Multiplikation Och Division Av Brak Matte 1 Aritmetik Matteboken


Brak Division Matematik Matte 2 Algebra Pluggakuten


Lar Dig Multiplicera Och Dividera Brak Hogstadiet Ma 1 Eddler


Division Med 10 100 1000 Skolmagi Nu


Matte 8 Division Av Brak


Ak 8 Adam Brak Dividera Brak Med Hjalp Av Inverterad Namnare Youtube


Brak Division Av Brak Med Variabler Youtube


Stott Pa Patrull I Division Med Brak Matematik Matte 1 Aritmetik Pluggakuten


Division Decimaler I Kvoten Majalin


Ekvationer Med Namnare Algebra Matte 1 Eddler


Y Division Av Brak 1 Vilket Eller Vilka Brak Pa Braktavlan Ar Lika Med De Har Talen 1 2 A 1 3 B 3 4 C Berakna Med Hjalp Av Ppt Ladda Ner


Rakna Med Brak Addition Subtraktion Multiplikation Och Division Negativa Tal Flashcards Quizlet


Matematik Division Med Brak

Iklan Atas Artikel

Iklan Tengah Artikel 1

Iklan Tengah Artikel 2

Iklan Bawah Artikel